Помогите пожалуйста нужно очень срочно сегодня
Найти производные третьего порядка данных функций, используя правила вычисления производных
а) y = log2x / x^3 - где 2 икс снизу
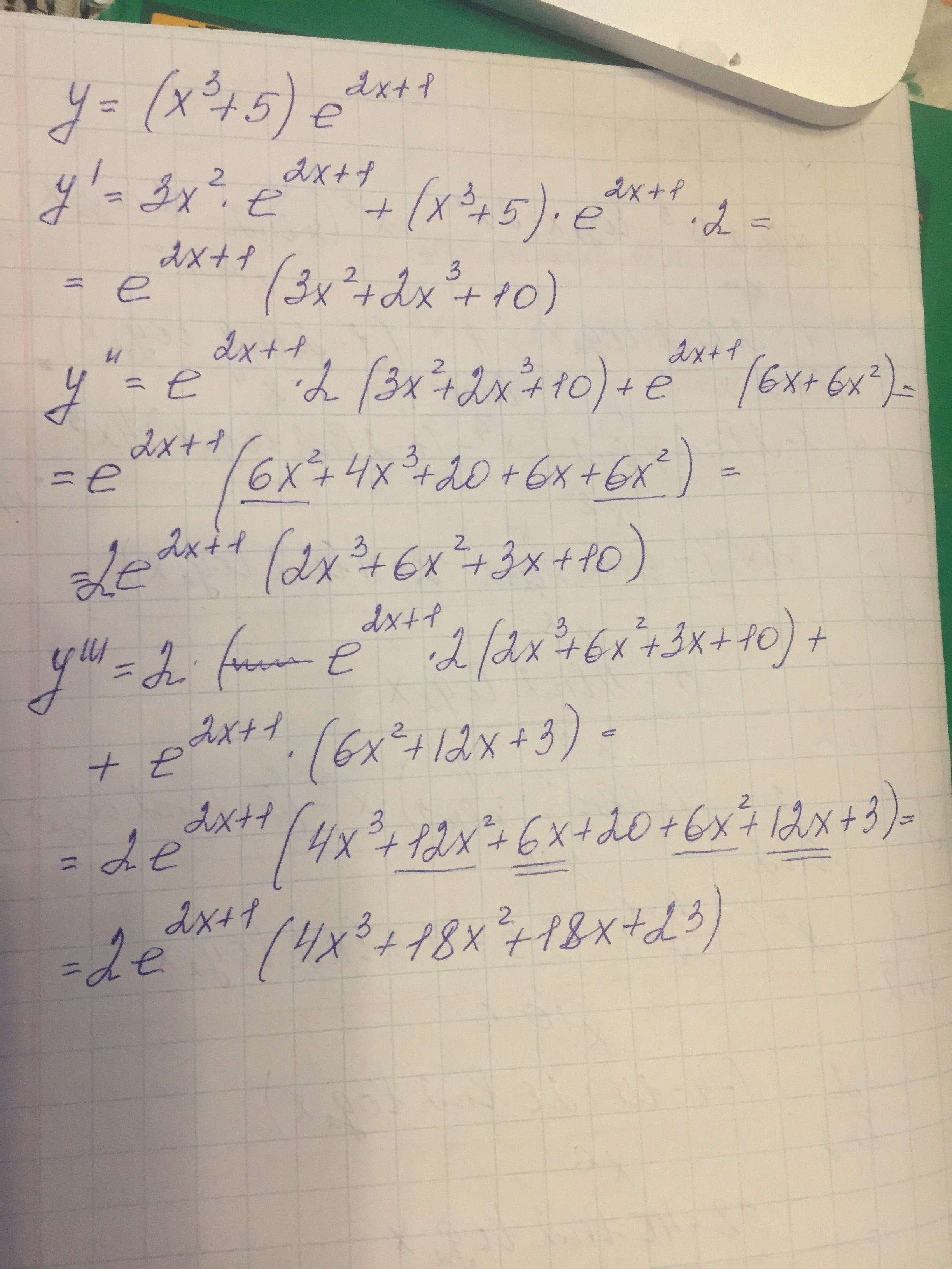
б) y = (x^3+5)*e^2x+1
Ответы
Ответ дал:
0
Ответ:
Пошаговое объяснение:
Приложения:


Вас заинтересует
2 года назад
2 года назад
3 года назад
8 лет назад
9 лет назад