Ответы
Ответ дал:
0
Ответ:
Пошаговое объяснение:
Приложения:

Ответ дал:
0
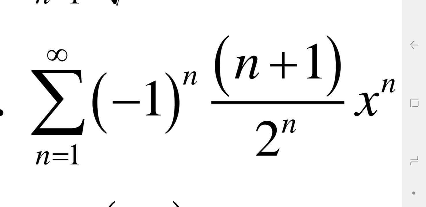
Воспользуемся признаком Д'Аламбера.
Мы нашли интервал сходимости. А теперь самое "вкусное": исследует тот бардак,что получается на границах:
Ряд расходится, так как не выполняется условие ни абсолютной ни условной сходимости.
Ряд расходится согласно необходимого признака сходимости.
Ответ: -2<x<2
Приложения:

Вас заинтересует
2 года назад
3 года назад
3 года назад
9 лет назад
9 лет назад
9 лет назад