Решите пожалуйста примеры по алгебре 1,2 вроде бы по дискреминанту находятся, а 3-ий не знаю. В 1-ом у меня получилось x1=64;x2=0,5
Приложения:

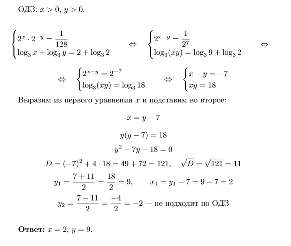
Ответы
Ответ дал:
0
Если будут какие-нибудь вопросы — задавайте.
Приложения:



Ответ дал:
0
Спасибо огромное
Ответ дал:
0
Вы это сами решили или нашли где-то?
Ответ дал:
0
И если нашли, то как называется сайт?
Ответ дал:
0
Сам решил
Вас заинтересует
2 года назад
2 года назад
3 года назад
3 года назад
9 лет назад
9 лет назад
9 лет назад