• Предмет: Математика
  • Автор: iMichael
  • Вопрос задан 8 лет назад

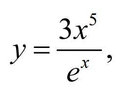
Найти производную первого порядка данной функции
С решением желательно

Приложения:

Ответы

Ответ дал: IrkaShevko
0

Ответ:


Пошаговое объяснение:

y'=dfrac{(3x^5)'e^x-3x^5(e^x)'}{(e^x)^2} =dfrac{15x^4e^x-3x^5e^x}{e^{2x}}= dfrac{e^x(15x^4-3x^5)}{e^{2x}}=dfrac{15x^4-3x^5}{e^x}

Ответ дал: iMichael
0
Так в числителе две e^x
Ответ дал: IrkaShevko
0
оооо, у вас настолько запущено..
Ответ дал: iMichael
0
Вот это объяснение, ясно, спасибо
Ответ дал: IrkaShevko
0
я добавила в решение, смотрели бы сразу, прежде чем писать
Ответ дал: iMichael
0
Так-то лучше
Вас заинтересует