• Предмет: Алгебра
  • Автор: yana01111
  • Вопрос задан 8 лет назад

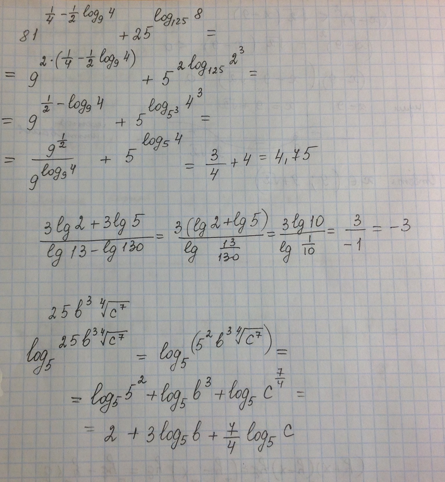
1. Упростите выражение

2.Найдите значение выражения

3.Прологарифмируйте по основанию а выражение



Помогите пожалуйста с алгеброй

Приложения:

Ответы

Ответ дал: maksimcat
0

Ответ на фото////////////////////////////

Приложения:
Ответ дал: yana01111
0
Спасибо
Вас заинтересует