Ответы
Ответ дал:
0
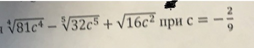
Решение во вложении:
*четная степень выходит по модулю, нечетная в скобках
Приложения:

Вас заинтересует
2 года назад
3 года назад
3 года назад
8 лет назад
9 лет назад