• Предмет: Алгебра
  • Автор: golsovan
  • Вопрос задан 8 лет назад

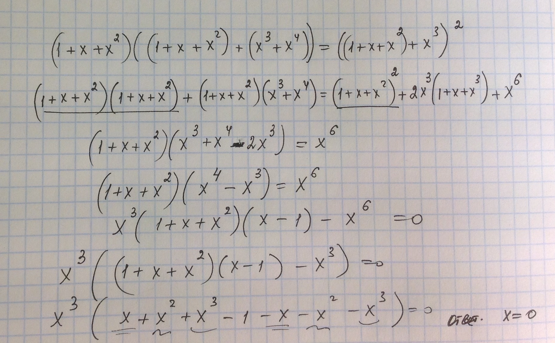
Решите уравнение:
(1+x+x^2)(1+x+x^2+x^3+x^4)=(1+x+x^2+x^3)^2
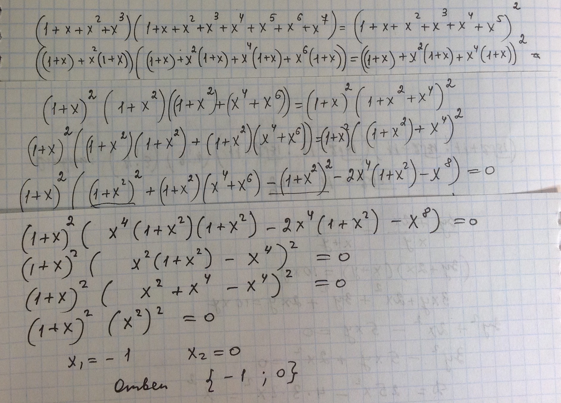
И ещё одно:
(1+x+x^2+x^3)(1+x+x^2+x^3...+x^7)=(1+x+x^2+x^3+x^4+x^5)^2

Ответы

Ответ дал: maksimcat
0

Ответ на фото////////////////

Приложения:
Вас заинтересует