• Предмет: Математика
  • Автор: armsk2019
  • Вопрос задан 8 лет назад

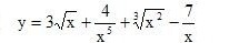
Продифференцировать данную функцию

Приложения:

Ответы

Ответ дал: MizoriesKun
0

Смотри....................


Приложения:
Вас заинтересует