• Предмет: Алгебра
  • Автор: vit64
  • Вопрос задан 8 лет назад

Помогите пожалуйста....

Приложения:

Ответы

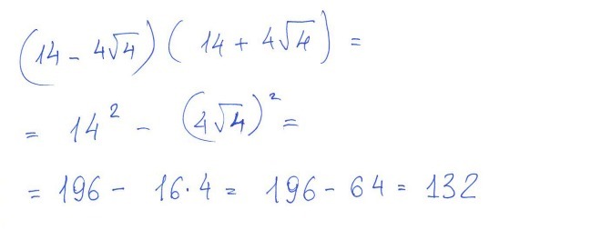
Ответ дал: Lod2000
0

см. вложение.......................

Приложения:
Вас заинтересует