• Предмет: Математика
  • Автор: kiranazimova8
  • Вопрос задан 8 лет назад

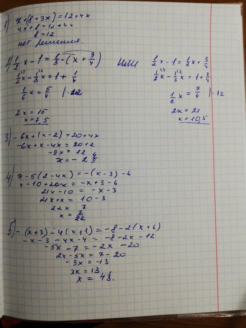
1) x+(8+3x)=12+4x

Одна вторая x отнять один равно одна третья умножить на x плюс три четвертых

-6x+(x-2)=20+4x

X-5(2-4x)=-(x-3)-6

-(-x+3)-4(x+1)=-8-2(x+6)

Ответы

Ответ дал: Юленька194
0

Пошаговое объяснение:

Приложения:
Вас заинтересует