Ответы
Ответ дал:
0
(-7/8+4 2/3)*9,6=48;
-7/8+4 2/3= 5;
9,6*5=48
-7/8+4 2/3= 5;
9,6*5=48
Ответ дал:
0
Ответ:
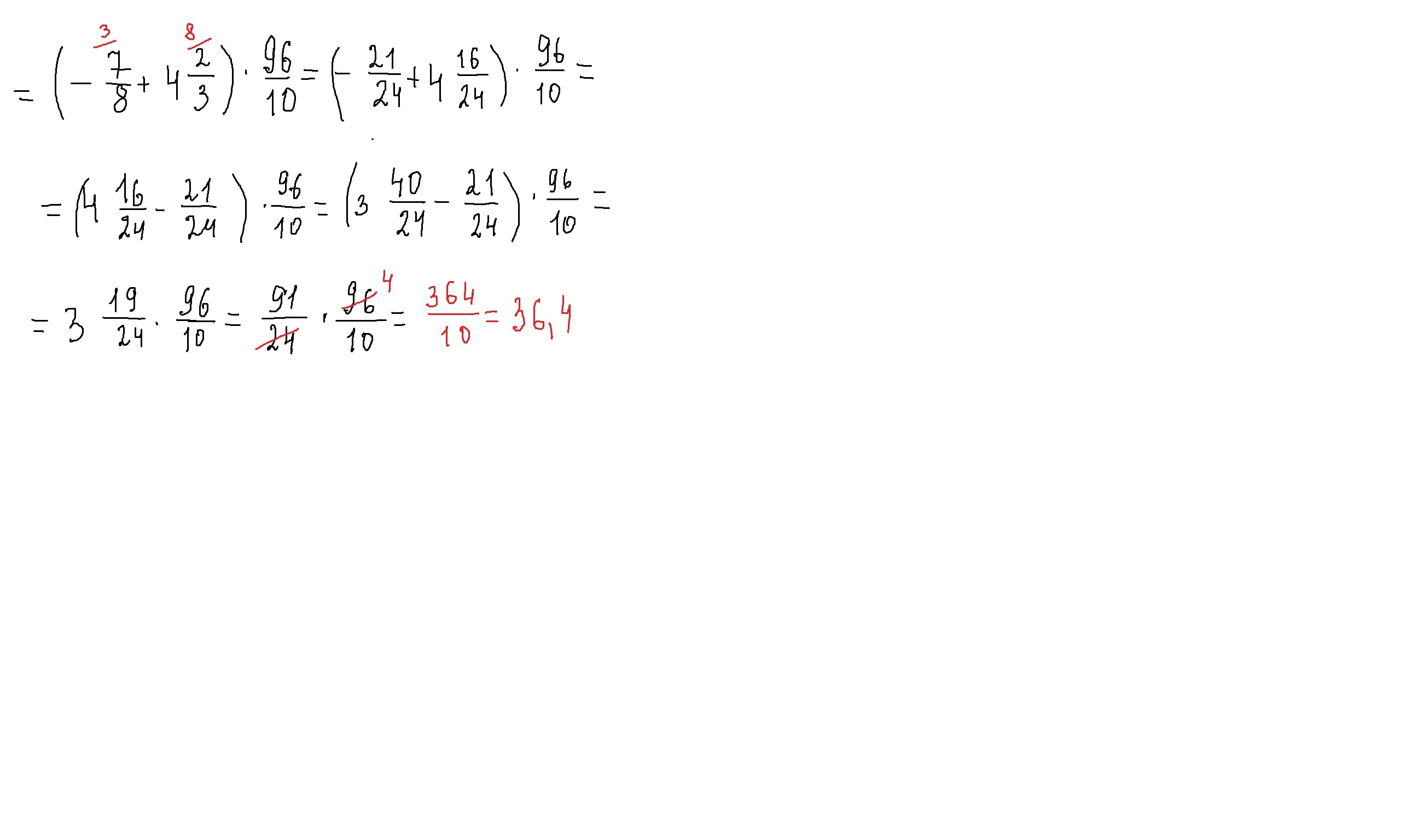
решение смотри внизу
Приложения:

Вас заинтересует
2 года назад
2 года назад
3 года назад
3 года назад
8 лет назад