преобразуйте с помощью формул сокращенного умножения) ПОЖАЛУЙСТААА,СРОЧНО ПРИ СРОЧНО!!!
БУДУ ОЧЕНЬ БЛАГОДАРНАА!!!!
Приложения:
Ответы
Ответ дал:
0
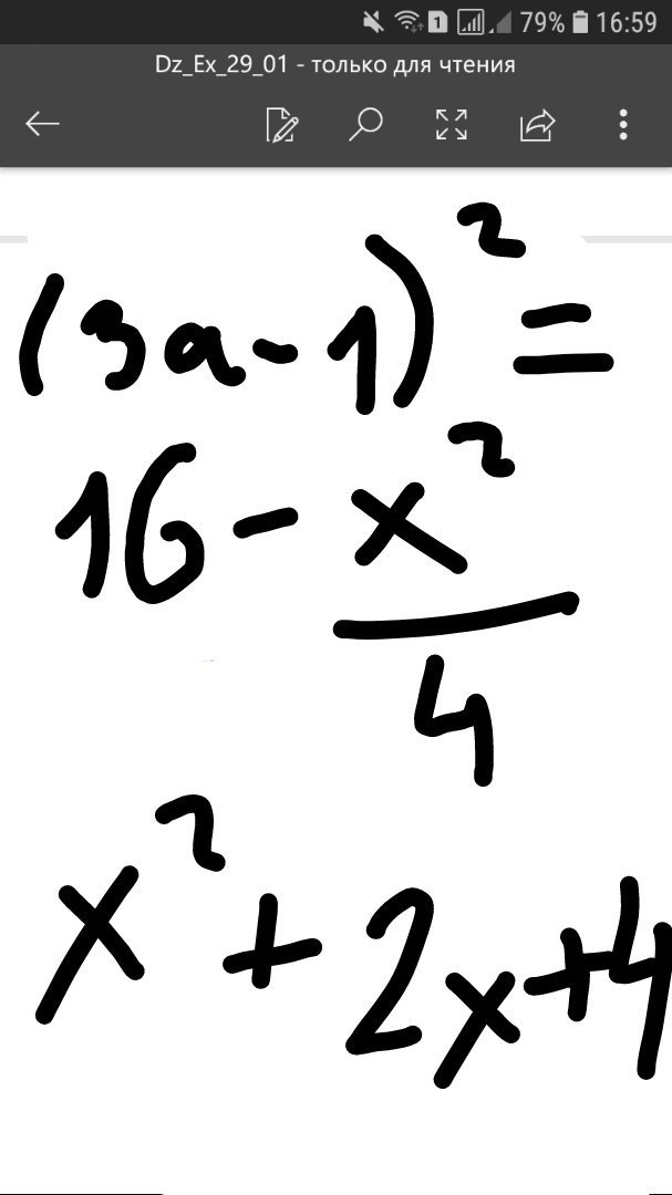
(3a-1)^2 =9а^2-6а+1
x^2+2x+4=(x+2)^2
x^2+2x+4=(x+2)^2
Приложения:
Вас заинтересует
2 года назад
3 года назад
3 года назад
9 лет назад
9 лет назад
10 лет назад