• Предмет: Алгебра
  • Автор: d1masuper
  • Вопрос задан 8 лет назад

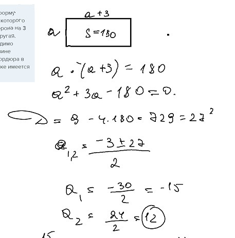
Детская площадка имеет форму прямоугольника, площадь которого равна 180 м2. Одна его сторона на 3 метр(-ов, -а) больше, чем другая. Детской площадке необходимо построить бордюр. В магазине продаётся материал для бордюра в упаковках. В одной упаковке имеется 15 метров(-а) материала.

Ответы

Ответ дал: Bon93
0

стороны площадки 12 и 15, упаковок понадобится 4

Приложения:
Вас заинтересует