• Предмет: Физика
  • Автор: saldoroad12
  • Вопрос задан 8 лет назад

10 баллов за ответ
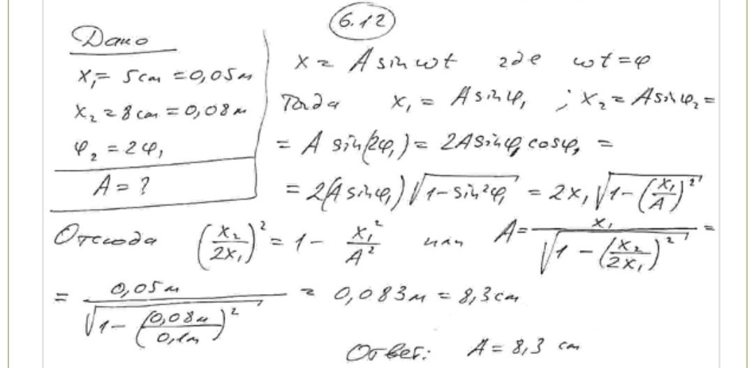
206. Частица совершает колебания по закону x=A*cosw*t. В некоторый момент смещение x1=5,0*10^-2 м. Когда фаза колебаний увеличилась вдвое, смещение частицы равно x2=0,4*10^-2 м. Найти амплитуду колебаний.

Ответы

Ответ дал: Vikaoneshka
0
Вот,точно правильные ответы )
Приложения:
Вас заинтересует