Помогите пожалуйста решить интегралы (1102, 1106, 1107, 1108), желательно подробно. Заранее огромное спасибо
Приложения:

Ответы
Ответ дал:
0
Ответ:СПРОСИ У РОДИТЕЛЕЙ
Пошаговое объяснение:
Ответ дал:
0
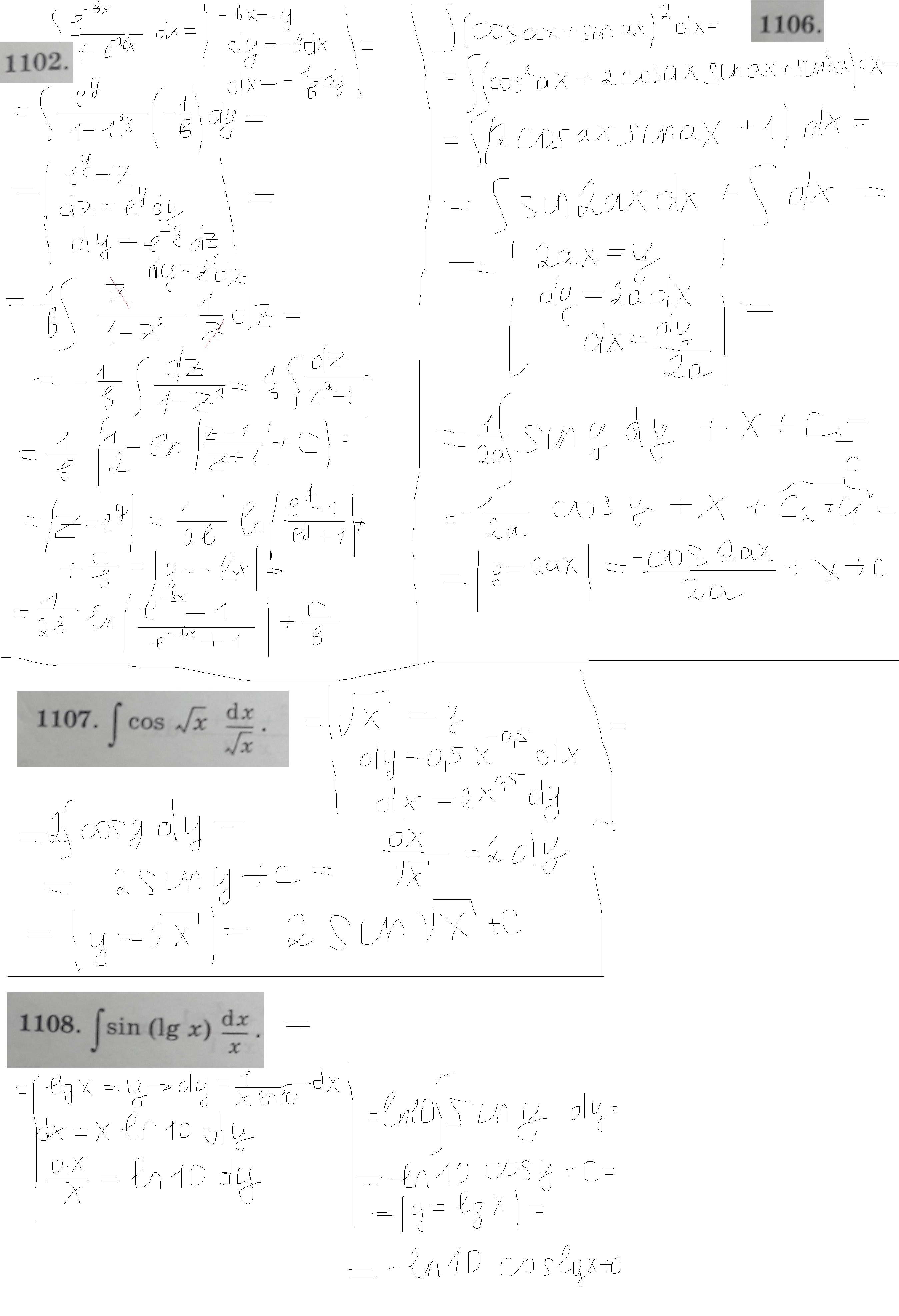
Ответ: смотреть на картинке
Пошаговое объяснение:
Приложения:

Вас заинтересует
2 года назад
3 года назад
3 года назад
8 лет назад