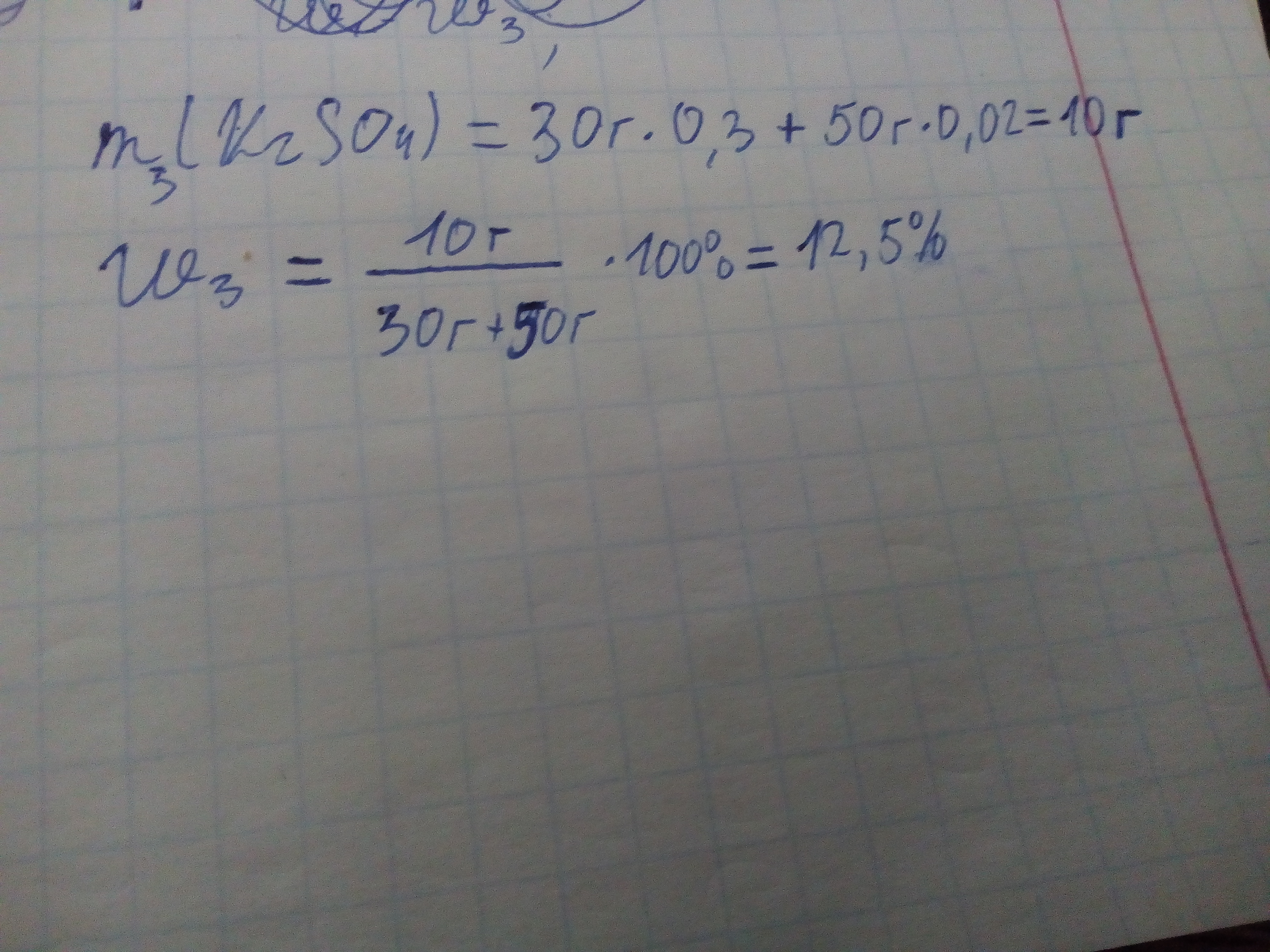
К раствору сульфата калия массов 30г с массовой долей соли 30% добавили раствор массой 50 г с массовой долей этой же соли 2% . Рассчитайте массовую долю (%) сульфата калия в полученном растворе.
Ответы
                                            Ответ дал: 
                                                                                    
                                        
                                            
                                                
                                                
                                                
                                                    0
                                                
                                            
                                        
                                    Привет друг) все ответы на фото) удачи!;)
Приложения:
                    
                            
                            Вас заинтересует
                
                        2 года назад
                    
                
                        3 года назад
                    
                
                        9 лет назад
                    
                
                        9 лет назад