• Предмет: Алгебра
  • Автор: myrmyr13
  • Вопрос задан 8 лет назад

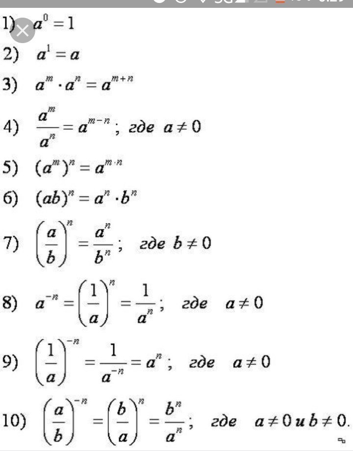
Какое из данных ниже выражений при любых значениях k равно степени...?

Приложения:

Ответы

Ответ дал: Universalka
0

1)frac{3^{2} }{3^{k} }=3^{2-k}

Ответ дал: parvanovaolga9
0
Первое: 3²/3(k)
Есть формулы
Приложения:
Вас заинтересует