ПРОШУ ПОМОГИТЕ.РЕШИТЬ ПРИМЕРЫ,НЕ ПРОСТО ОТВЕТ А С ПОЛНЫМИ РЕШЕНИЯМИ! (СМОТРЕТЬ.ФОТО)
Приложения:

Ответы
Ответ дал:
0
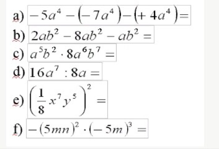
Всё "полное решение" в данных примерах состоит в том, чтобы сложить количества соответствующих переменных.
а) = -5+7
-4
= -2
(все переменные одинаковые, т.е. просто считаем, сколько их: -5+7-4= -2).
б) = -7а (все переменные одинаковые, т.е. просто считаем, сколько их: 2-8-1= -7).
с) = 8 (при умножении степени в одинаковых переменных складываются).
d) = 2 (при делении степени в одинаковых переменных вычитаются, числа делятся друг на друга).
е) = (при возведении в степень у переменных степени перемножаются, число возводится в степень).
f) = -25*(-125
)= 3125
(при возведении в степень у переменных степени перемножаются, число возводится в степень; при умножении степени в одинаковых переменных складываются).
Вас заинтересует
2 года назад
3 года назад
9 лет назад
9 лет назад
9 лет назад