• Предмет: Математика
  • Автор: Killertelephoune
  • Вопрос задан 8 лет назад

браинли,спаси.............

Приложения:

Ответы

Ответ дал: parus77
0

Ответ:

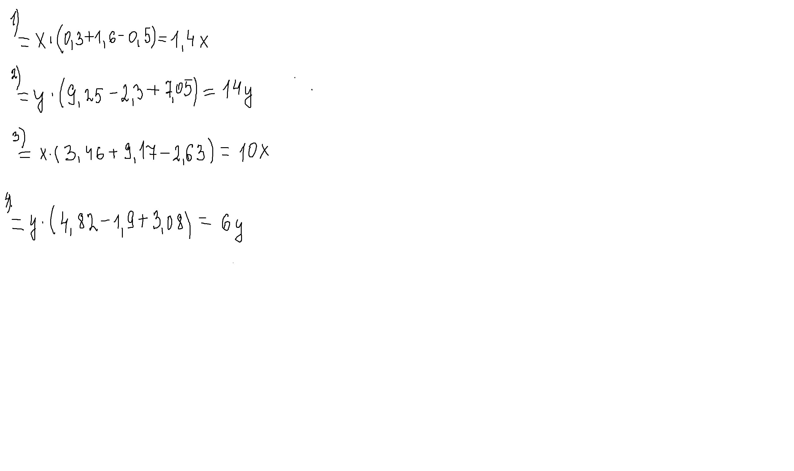
смотри решение внизу



Приложения:
Вас заинтересует