• Предмет: Алгебра
  • Автор: pako44
  • Вопрос задан 8 лет назад

Прошу помогите!(((Молю

Приложения:

Ответы

Ответ дал: maria13521
0
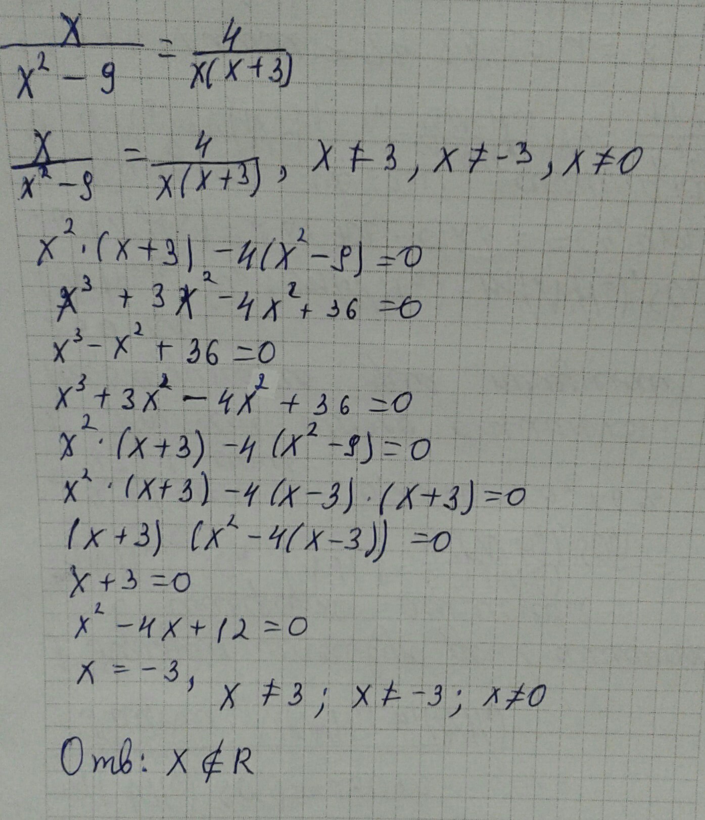
Ответ на рисунке........
Приложения:
Ответ дал: pako44
0
Ты лучшая
Ответ дал: maria13521
0
:)
Вас заинтересует