• Предмет: Алгебра
  • Автор: hjfgjghjkhkg
  • Вопрос задан 8 лет назад

Помогите решить уравнение пожалуйста!

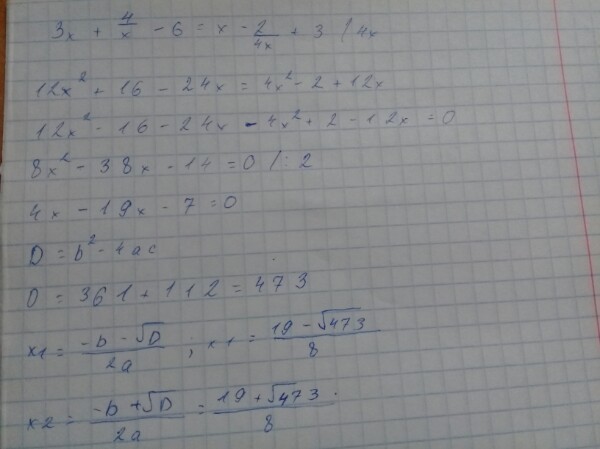
3x+4/x-6=x-2/4x+3

Ответы

Ответ дал: kezi
0

............................

Приложения:
Вас заинтересует