• Предмет: Математика
  • Автор: us0v33
  • Вопрос задан 8 лет назад

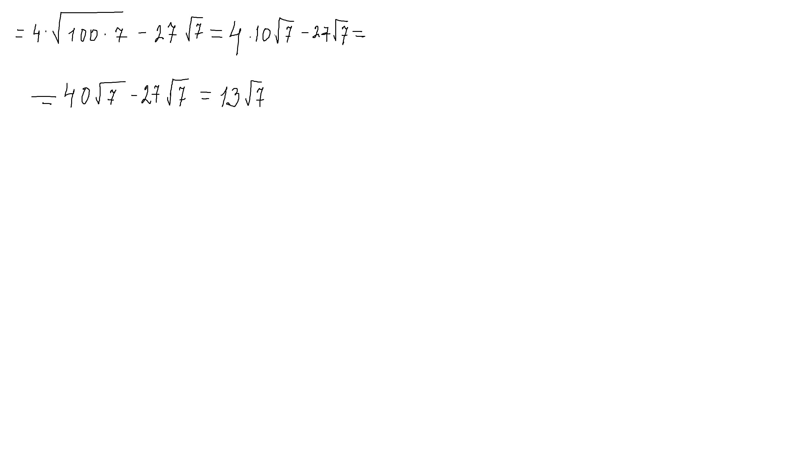
Уравнение указано на фото.
Пошагово напишите решение.​

Приложения:

Ответы

Ответ дал: parus77
0

Ответ:

решение смотри внизу

Приложения:
Ответ дал: us0v33
0
спс
Вас заинтересует
10 лет назад