• Предмет: Математика
  • Автор: KEKSON321
  • Вопрос задан 8 лет назад

СОС ПАЦАНЫ СПАСАЙТЕ​

Приложения:

Ответы

Ответ дал: msvi505
0

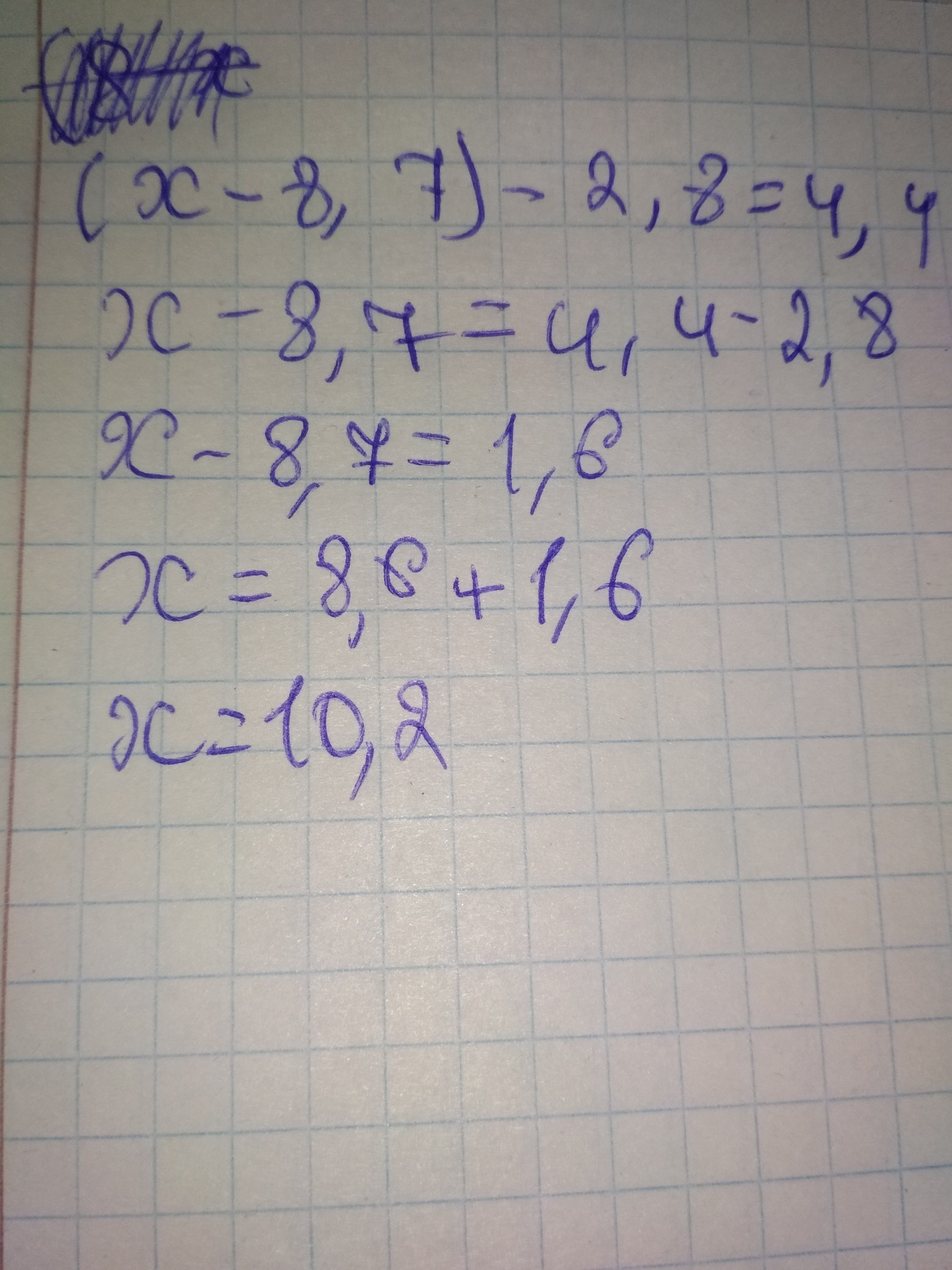
вот держи думаю правильно

Приложения:
Вас заинтересует