Ребята, выручайте! Без Вас никак!
Помогите разобраться в теме
Решите и подробно распишите!
Любую задачку, любое количество!
За отдельную благодарность можете Всё, хочу на ваших решениях понять тему и научиться решать эти тяжки задачи! Надеюсь на Вас!
Заранее огромное спасибо!
Помоги :)
Приложения:

Ответы
Ответ дал:
0
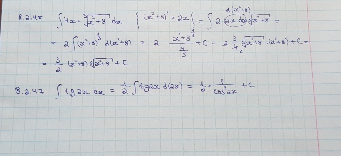
решение на фотографиях
Приложения:



Вас заинтересует
2 года назад
2 года назад
3 года назад
8 лет назад
8 лет назад