• Предмет: Математика
  • Автор: maftunah614
  • Вопрос задан 8 лет назад

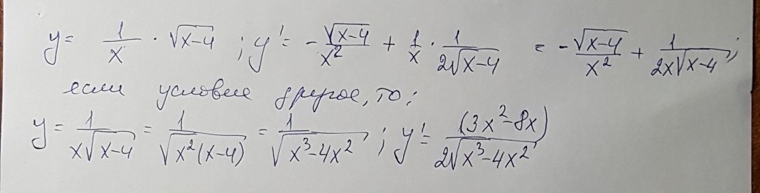
Y=1/x√x-4 Вычислите производную данной функции

Ответы

Ответ дал: 1233090
0

решение задания смотри на фотографии

Приложения:
Вас заинтересует