• Предмет: Математика
  • Автор: Aeumi13
  • Вопрос задан 8 лет назад

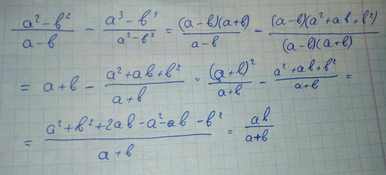
Упростить данное выражение

Приложения:

Ответы

Ответ дал: cambogiyt
0

решение на фотографии.

Использованы формулы

a²-b²=(a-b)(a+b)

a^{3}-b^{3}=(a-b)(a^{2}+ab+b^{2})

Приложения:
Ответ дал: Aeumi13
0
Спасибо!
Ответ дал: blin63
0
чмок) незачто
Вас заинтересует