Ответы
Ответ дал:
0
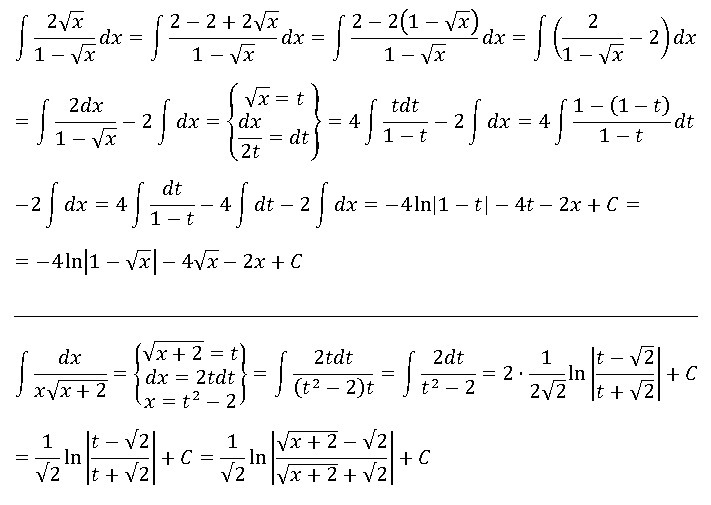
Решение на картинке..
Приложения:

Ответ дал:
0
спасибочки)
Вас заинтересует
2 года назад
2 года назад
3 года назад
3 года назад
8 лет назад
8 лет назад
9 лет назад
9 лет назад