• Предмет: Математика
  • Автор: Аноним
  • Вопрос задан 8 лет назад

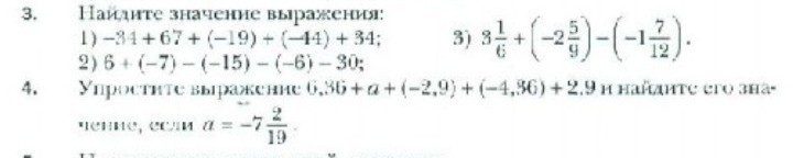
С решением пожалуйста!​
дам 25 баллов

Приложения:

Ответы

Ответ дал: Diana120107
0
Вот,решение!Надеюсь,что всё видно!
Приложения:
Вас заинтересует