• Предмет: Математика
  • Автор: xXDOMINATORXx
  • Вопрос задан 8 лет назад

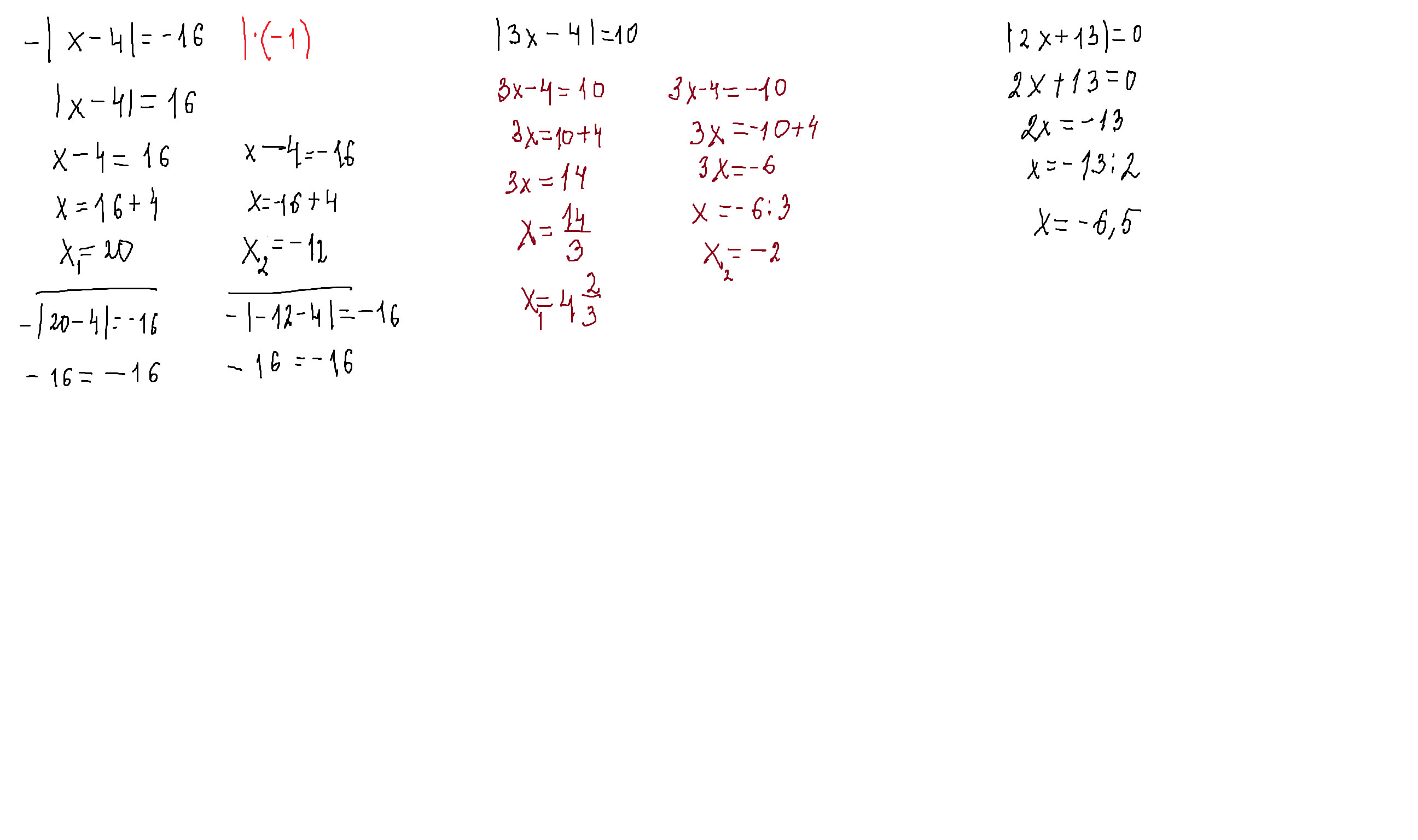
Помогите решить уравнения -!x-4!=-16
!3x-4!=10 !2x+13!=0 восклицательный знак обозначает модуль

Ответы

Ответ дал: parus77
0

Ответ:

Пошаговое объяснение: решение смотри внизу

Приложения:
Вас заинтересует