• Предмет: Математика
  • Автор: бином2
  • Вопрос задан 8 лет назад

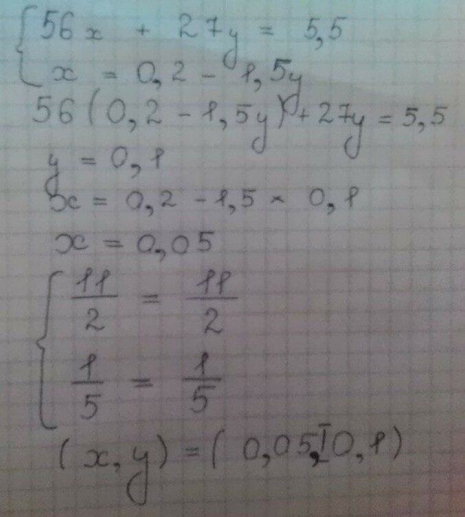
ПОМОГИТЕ РЕШИТЬ СИСТЕМУ УРАВНЕНИЙ
56х+27у=5,5
х+1,5у=0,2

Ответы

Ответ дал: Аноним
0

Решение см во вложении.

Приложения:
Вас заинтересует