Ответы
Ответ дал:
0
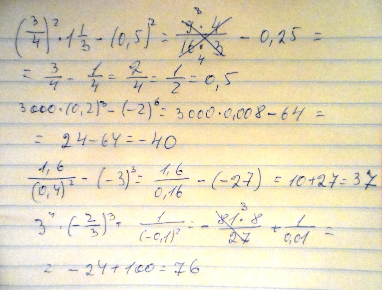
плохо видно, мог ошибиться с показателями степени
Приложения:

Ответ дал:
0
Нет, все верно, спасибо друг, выручил!
Ответ дал:
0
пожалуйста, но фотки нужны более четкие
Вас заинтересует
2 года назад
2 года назад
3 года назад
3 года назад
8 лет назад
8 лет назад
9 лет назад