Ответы
Ответ дал:
0
Ответ:
сегодня уже решала эти уравнения
Пошаговое объяснение:
если у вас 1 уравнение без "-"то тогда так
|x-4|= - 16 уравнение корней не имеет.потому что модуль числа- не отрицательное число.
Приложения:

Ответ дал:
0
Ответ:
Пошаговое объяснение:
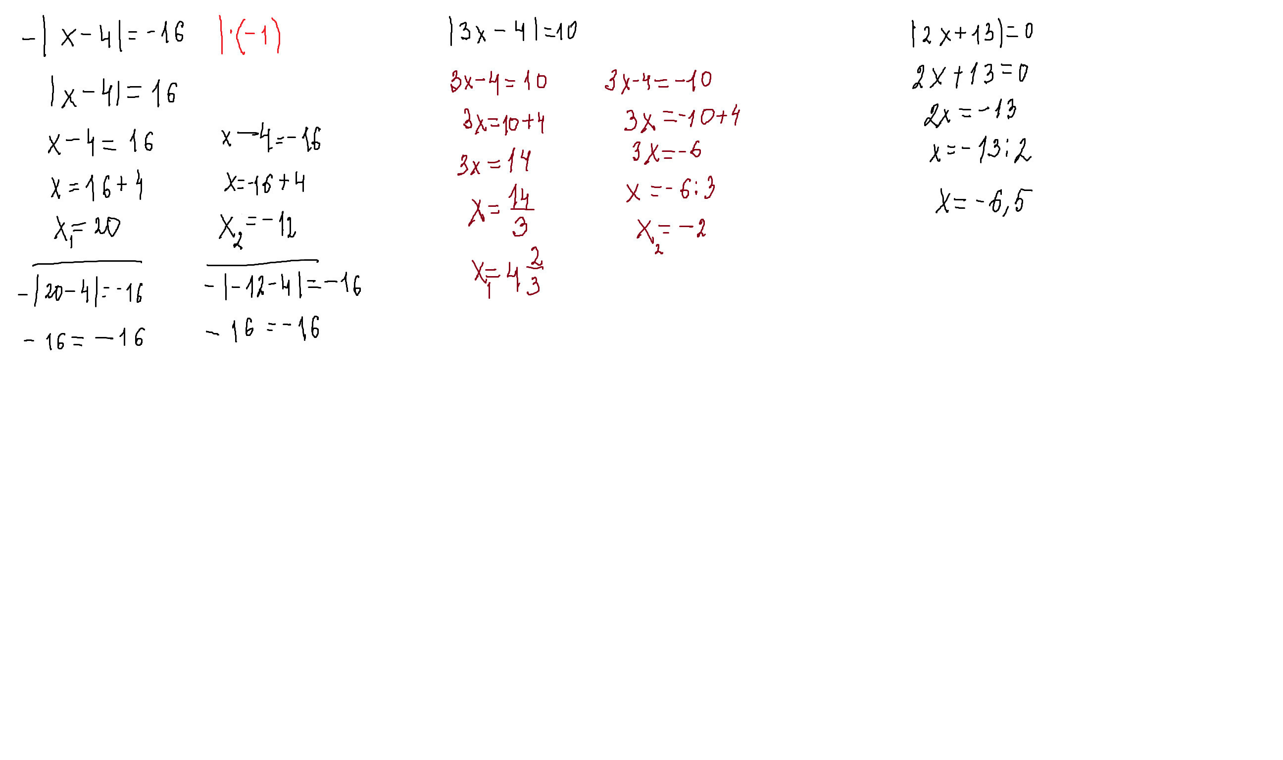
1)нет решения, 2)3х-4=10 или 3х-4=-10, 3х=14, х=14/3, 3х=-6, х=-2
3)2х+13=0, 2х=-13, х=-13/2=-6,5
Приложения:

Вас заинтересует
2 года назад
2 года назад
3 года назад
3 года назад
8 лет назад
8 лет назад
9 лет назад