Ответы
Ответ дал:
0
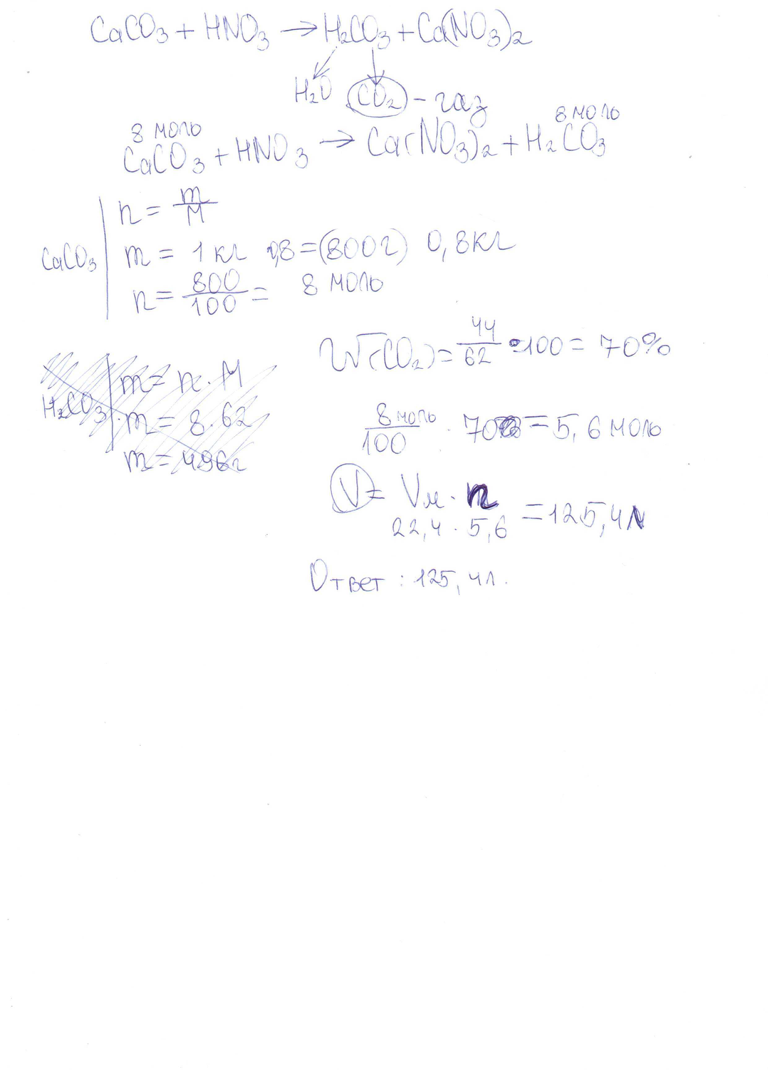
Газ который образуется: CO2
Найдем число молей, и через молярный объем посчитаем объем газа. Если будет верно - напиши мне) Лист с решением ниже:
Приложения:

Ответ дал:
0
забыл двойку перед азотной, и зачем ты написал 70 ? Просто 8 умножь 22,4
Ответ дал:
0
*на
Вас заинтересует
2 года назад
2 года назад
3 года назад
8 лет назад
9 лет назад