Ответы
Ответ дал:
0
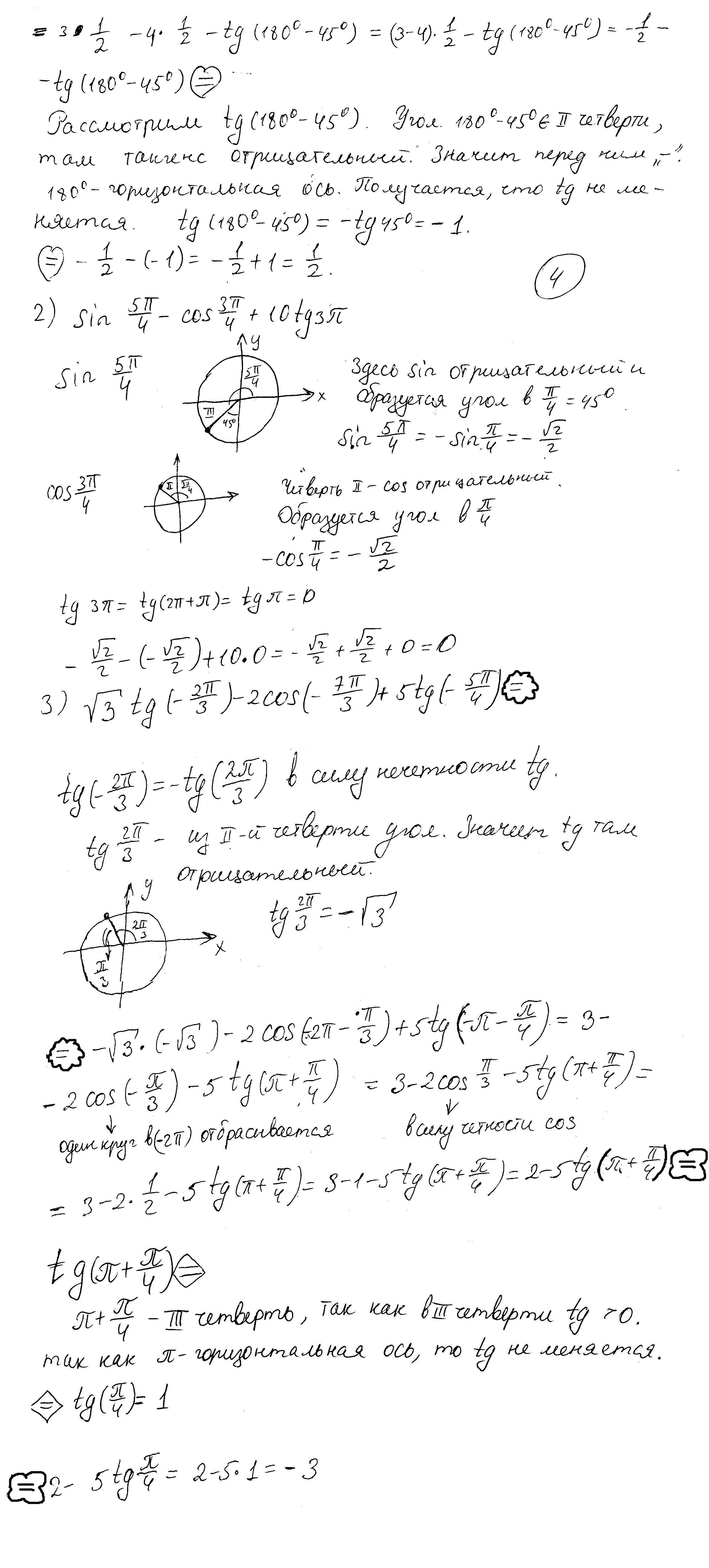
Решение в приложении. Вроде как верно))
Приложения:




Вас заинтересует
3 года назад
3 года назад
8 лет назад
8 лет назад
9 лет назад