• Предмет: Математика
  • Автор: bob2787
  • Вопрос задан 8 лет назад

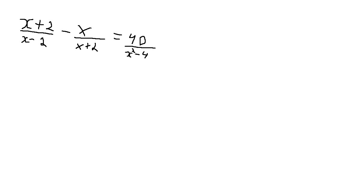
решите пример пожалуйста очень надо

Приложения:

Ответы

Ответ дал: Аноним
0

готово.... удачи вам))

Приложения:
Ответ дал: bob2787
0
от души
Ответ дал: Аноним
0
спасибо
Ответ дал: Аноним
0
вы тоже от души делайте лутшим моего ответа
Ответ дал: bob2787
0
))
Ответ дал: Аноним
0
Спасибо)))
Вас заинтересует