Найдите корни уравнения:
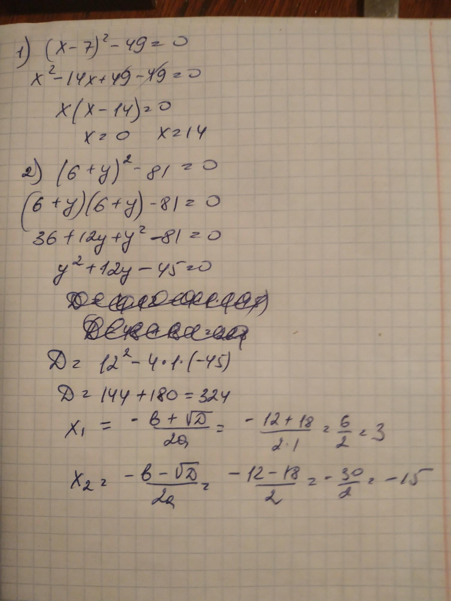
1)(х-7)^2-49=0
2)(6+у)^2-81=0
решите только без использования фото математики
и посторонних програм
один пример 10 баллов всего два примера решите пожалуйста
только мало баллов осталось
Ответы
Ответ дал:
0
--------------------------+------
Приложения:

Вас заинтересует
2 года назад
2 года назад
3 года назад
3 года назад
8 лет назад
8 лет назад
9 лет назад