• Предмет: Алгебра
  • Автор: Cat005
  • Вопрос задан 11 лет назад

Помогите, пожалуйста!
Решить уравнение:
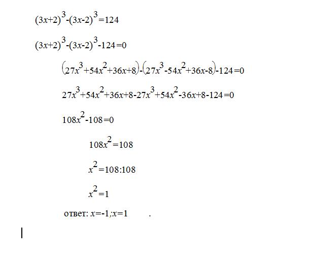
(3х + 2)^3 - (3х - 2)^3 = 124

Ответы

Ответ дал: triolana
0
========================================
Приложения:
Вас заинтересует