Ответы
Ответ дал:
0
Ответ:
Пошаговое объяснение:
737
4) 26 1/11 - 5,7 = 287/11 - 57/10 = (2870-627)/110 = 2243/110 = 20 43/110
5) 40,8 + 15 2/3 = 204/5 + 47/3 = (612 + 235)/15 = 847/15 = 56 7/15
6) 18 5/13 - 9,5 = 239/13 - 19/2 = (478-247)/26 = 231/26 = 8 23/26
738
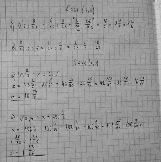
4) 0,6 : 9/25 =3/5 : 9/25 = 3/5 * 25/9 = 5/3 = 1 2/3
5) 8/21 : 0,5 = 8/21 : 1/2 = 8/21 * 2/1 = 16/21
Ответ дал:
0
А 738 740?
Ответ дал:
0
Я тебе помогу
Ответ дал:
0
Только подожди
Ответ дал:
0
Держи,желаю тебе удачи!Я тут решила тебе N738(4,5) и N740(3,4)
♥️
♥️
Приложения:

Вас заинтересует
2 года назад
2 года назад
3 года назад
8 лет назад
8 лет назад
9 лет назад
9 лет назад