Ответы
Ответ дал:
0
Ответ:
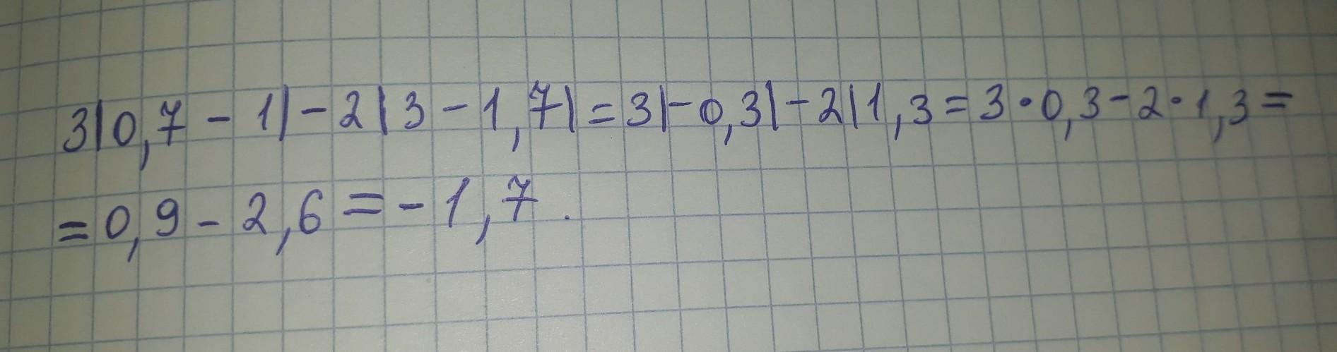
-1.7
Пошаговое объяснение:
Вместо х и у подставляй числа,
Модуль - число положительное следовательно получается
3*0.3-2*1.3=-1.7
Ответ дал:
0
Привет. Здесь всё правильно
Приложения:

Вас заинтересует
2 года назад
2 года назад
3 года назад
3 года назад
8 лет назад
8 лет назад
9 лет назад