Найдите все 200-значные натуральные числа,начинающиеся с девяносто девяти девяток и являющиеся квадратом натурального числа.
Ответы
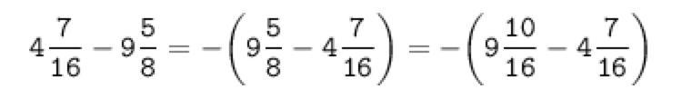
Ответ дал:
0
Ну вот вроде такс . Незачто
Приложения:

Вас заинтересует
2 года назад
2 года назад
3 года назад
3 года назад
8 лет назад
8 лет назад
9 лет назад