• Предмет: Математика
  • Автор: LSM54
  • Вопрос задан 8 лет назад

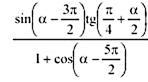
ПОМОГИТЕ!! Тригонометрия! 100 БАЛЛОВ!! Упростить выважение
С пояснениями

Приложения:

Ответы

Ответ дал: Bena20191
0

Ответ:

Пошаговое объяснение:

Приложения:
Вас заинтересует