Ответы
Ответ дал:
0
выносим за скобку и применяем формулы сокращенного умножения
Приложения:
Ответ дал:
0
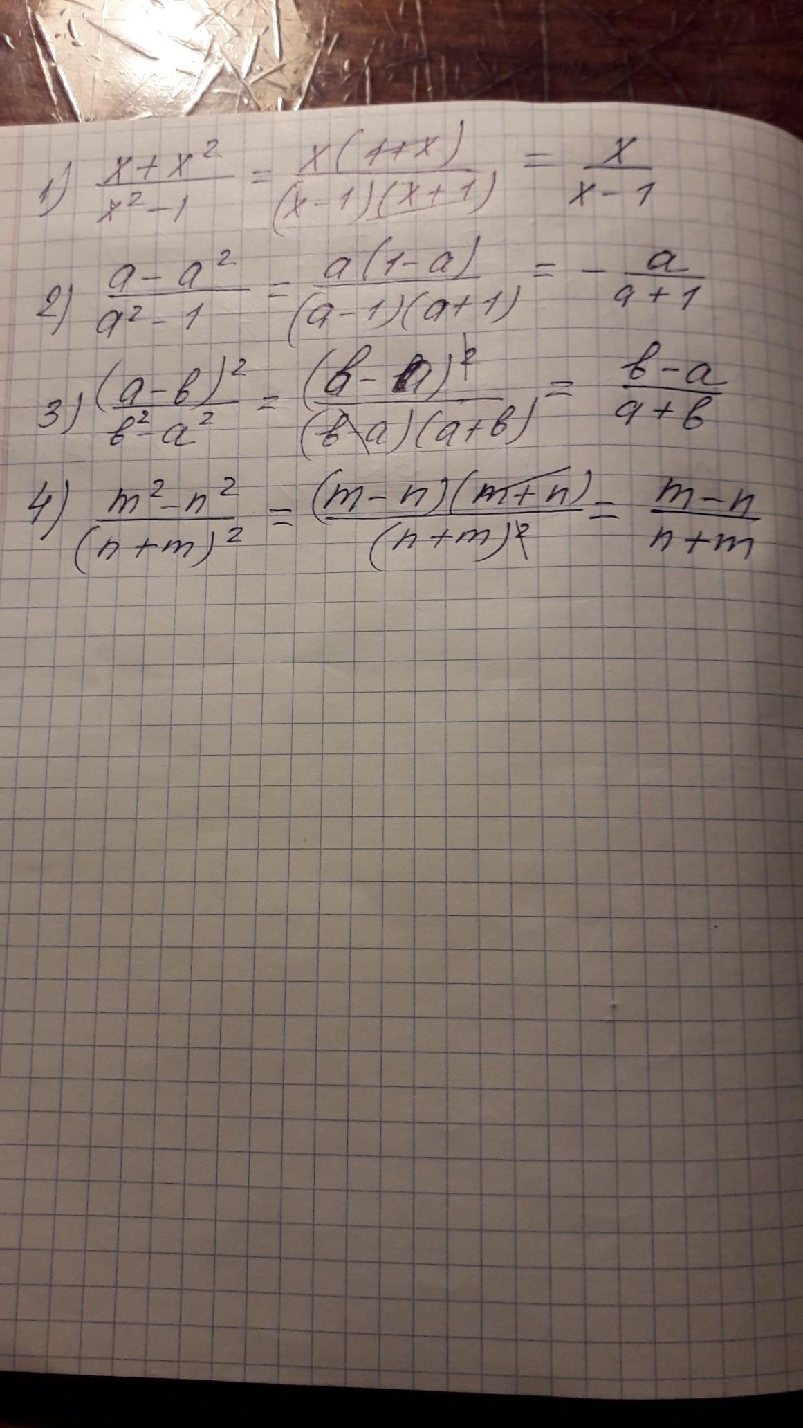
1). х(1+х)/(х-1)((х+1)
х/х-1
2). х(1-х)/(х-1)(х+1)
х(-(х-1))/(х-1)(х+1)
х×(-1)/х+1
-х/х+1
3). (а-b)^2/(b-a)+(b+a)
(a-b)^2/-(a-b)(b+a)
-(a-b)/b+a
b-a/b+a
4). (m-n)(m+n)/(n+m)^3
m-n/(n+m)^2
/___ дроб
х/х-1
2). х(1-х)/(х-1)(х+1)
х(-(х-1))/(х-1)(х+1)
х×(-1)/х+1
-х/х+1
3). (а-b)^2/(b-a)+(b+a)
(a-b)^2/-(a-b)(b+a)
-(a-b)/b+a
b-a/b+a
4). (m-n)(m+n)/(n+m)^3
m-n/(n+m)^2
/___ дроб
Приложения:
Вас заинтересует
2 года назад
2 года назад
3 года назад
9 лет назад
9 лет назад