• Предмет: Математика
  • Автор: Гламурнаяя
  • Вопрос задан 8 лет назад

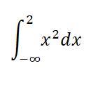
Вычислить несобственный интеграл во вложении

Приложения:

Ответы

Ответ дал: viva34
0

Интеграл расходится.

Ответ дал: Гламурнаяя
0
а решение?
Ответ дал: viva34
0
решение чего?) интеграл расходится
Ответ дал: Гламурнаяя
0
сам анализ, почему Вы решили, что он расходиться? Какие признаки на это указали?
Ответ дал: viva34
0
На самом деле здесь не нужен никакой анализ. Это можно доказать и по определению, но не нужно. Дело в том, что интерал - это мера, или если угодно - площадь под кривой. Нестрого так же можно рассуждать о ннсобственных интегралах. Площадь должна стремится к какому-то фиксированному числу. Если вы нарисуете параболу то станет очевидно, что площадь там не может стремится к числуч потому что функция бесконечно растет на бесконечном промежутке
Вас заинтересует