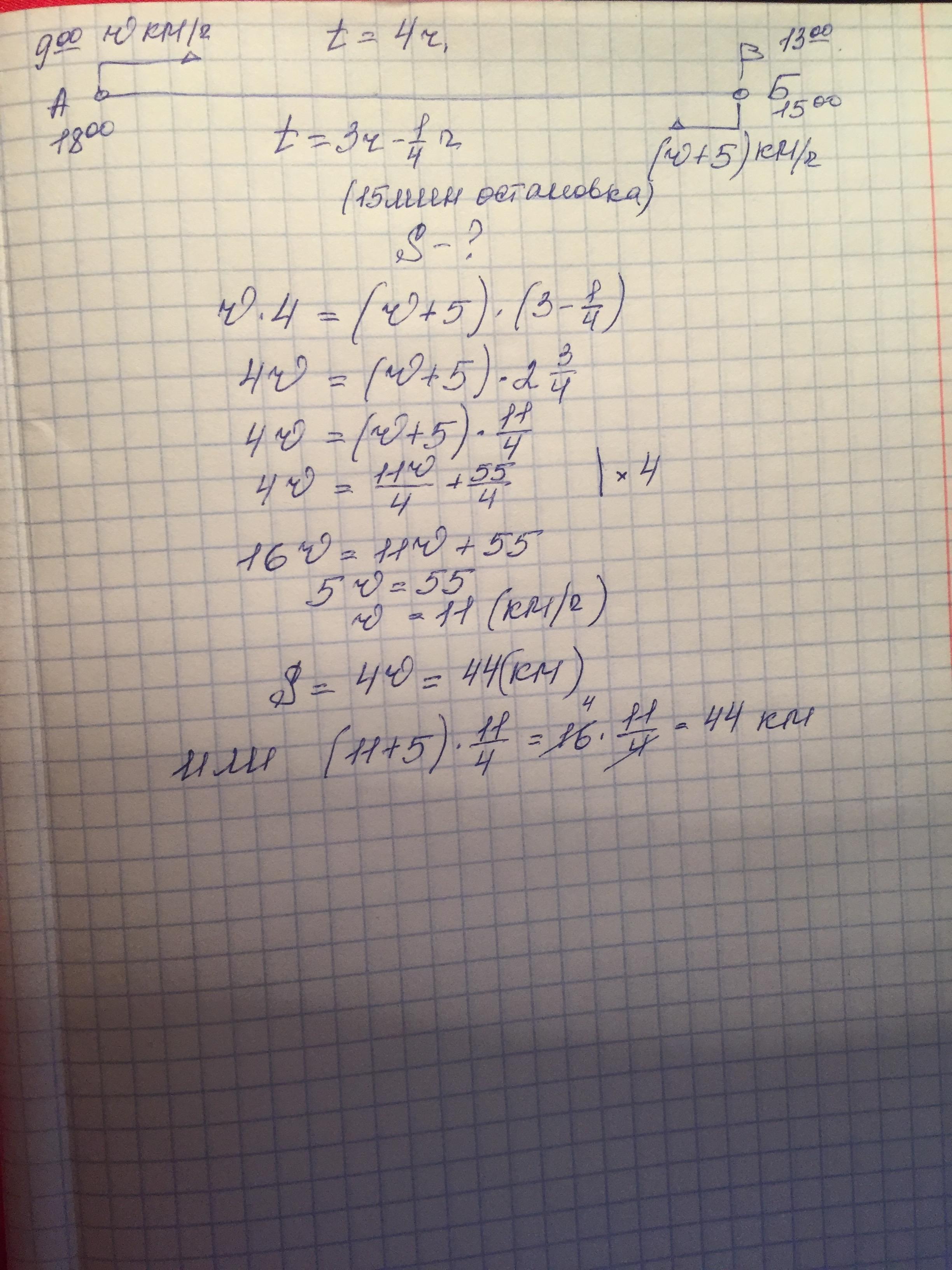
Велосипедист выехал в 9 утра из Пункта А ровно через четыре часа прибыл в пункт Б. В 15:00 он выехал обратно по той же дороге, но при этом увеличил скорость на 5 км час. На обратном пути велосипедист сделал 15 минут установку и пробу пункта а в 18:00 найдите расстояние между пунктами а и Б
Ответы
                                            Ответ дал: 
                                                                                    
                                        
                                            
                                                
                                                
                                                
                                                    0
                                                
                                            
                                        
                                    Ответ:
Пошаговое объяснение:
Приложения:
                     
                            
                                            Ответ дал: 
                                                                                    
                                        
                                            
                                                
                                                
                                                
                                                    0
                                                
                                            
                                        
                                    
                                        Ч•4
                                    
                                        
                                        
                                
                                            Ответ дал: 
                                                                                    
                                        
                                            
                                                
                                                
                                                
                                                    0
                                                
                                            
                                        
                                    
                                        р в смысле англ, перепутала
                                    
                                        
                                        
                                
                                            Ответ дал: 
                                                                                    
                                        
                                            
                                                
                                                
                                                
                                                    0
                                                
                                            
                                        
                                    
                                        Это V-скорость.
                                    
                                        
                                        
                                
                                            Ответ дал: 
                                                                                    
                                        
                                            
                                                
                                                
                                                
                                                    0
                                                
                                            
                                        
                                    
                                        Можно вместо V написать х. Только обозначить, что скорость из пункта А в Б - х км/ч
                                    
                                        
                                        
                                
                                            Ответ дал: 
                                                                                    
                                        
                                            
                                                
                                                
                                                
                                                    0
                                                
                                            
                                        
                                    
                                        Спасибо
                                    
                                        
                                        
                                Вас заинтересует
                
                        2 года назад
                    
                
                        2 года назад
                    
                
                        3 года назад
                    
                
                        3 года назад
                    
                
                        9 лет назад
                    
                
                        9 лет назад
                    
                
                        9 лет назад