• Предмет: Алгебра
  • Автор: Аноним
  • Вопрос задан 11 лет назад

Кто нибудь Срочно помогите с решением!!!!!!пишите подробно PLEASE

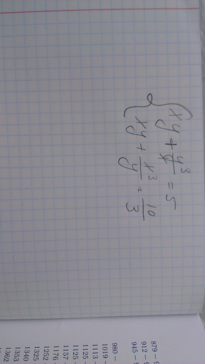
Приложения:

Ответы

Ответ дал: GosuMath
0
Перепишем эти 2 уравнения в виде: (y(x^2+y^2))/x=5
(x(x^2+y^2))/y=10/3
выразим x^2+y^2 из первого уравнения и подставим во второе
5x^2/y^2=10/3; x^2/y^2 = 2/3
Тогда x/y = +-(корень из 2/3)
Дальше выражаешь x или y и подставляешь в любое уравнение (я устал писать решение с планшета). Удачи!
Ответ дал: Матов
0
 left { {{xy+frac{y^3}{x}=5} atop { xy+frac{x^3}{y} =frac{10}{3}}} right.\
\
Можно выразить с первого у , для этого решим кв уравнение относительно какой та переменной !  Получим 
left { {{xy+frac{y^3}{x}=5} atop { xy+frac{x^3}{y} =frac{10}{3}}} right.\
\
x^2y-5x+y^3=0\
D=sqrt{25-4y^4}\
 x_{1}=frac{5+/-sqrt{25-4y^4}}{2y};\
Но он слишком утомительный! 

Другая идея решения такая 
Отнимем  первое уравнение от второго получим 
frac{y^4-x^4}{xy}=frac{5}{3}
заметит то что если множить это уравнение на 2 то оно равно второму уравнению системы , теперь приравняем и посмотрим что получиться! 
frac{2(y^4-x^4)}{xy}=xy+frac{x^3}{y}\
2(y^4-x^4)=x^2y^2+x^4\
2(y^2-x^2)(x^2+y^2)-x^2y^2-x^4=0\
2(y^2-x^2)(x^2+y^2)-x^2(y^2+x^2)=0\
(x^2+y^2)(2y^2-3x^2)=0\
теперь с него легко видеть такое соотношение 
x=frac{sqrt{2}y}{sqrt{3}}\
подставим в  любое уравнения системы получим  y=+-sqrt[4]{6}\
 x=+-frac{sqrt[4]{8}}{sqrt[4]{3}}

Вас заинтересует