• Предмет: Математика
  • Автор: Sergey111s
  • Вопрос задан 8 лет назад

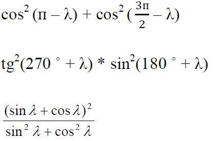
Задача Упростить. Решите пожалуйста

Приложения:

Ответы

Ответ дал: Trover
0

cos^2(pi-lambda)+cos^2left(frac{3pi}2-lambdaright)=left(cos(pi-lambda)right)^2+left(cosleft(frac{3pi}2-lambdaright)right)^2=\=left(-coslambdaright)^2+left(-sinlambdaright)^2=cos^2lambda+sin^2lambda=1

tg^2left(270^o+lambdaright)cdotsin^2left(180^o+lambdaright)=left(tgleft(frac{3pi}2+lambdaright)right)^2cdotleft(sinleft(pi+lambdaright)right)^2=\=left(-ctglambdaright)^2cdotleft(-sinlambdaright)^2=ctg^2lambdacdotsin^2lambda=cos^2lambda

frac{(sinlambda+coslambda)^2}{sin^2lambda+cos^2lambda}=frac{sin^2lambda+2sinlambdacoslambda+cos^2lambda}1=2sinlambdacoslambda+1=sin2lambda+1

Вас заинтересует