• Предмет: Алгебра
  • Автор: goldman48
  • Вопрос задан 8 лет назад

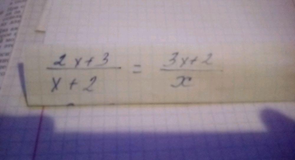
Решите пример......................

Приложения:

Ответы

Ответ дал: Irremediable
0

Умножение крест на крест

 frac{a}{b}  =  frac{c}{d} ==>

a times d = c times b

 frac{2x + 3}{x + 2}  =  frac{3x + 2}{x}  \ x(2x + 3) = (x + 2)(3x + 2) \ 2 {x}^{2}  + 3x = 3 {x}^{2}  + 2x + 6x + 4

Всё в одну сторону

 -  {x}^{2}  - 5x - 4 = 0

Умножим обе части уравнение на -1

 {x}^{2}  + 5x + 4 = 0

Как обычное квадратное уравнение решаем

d = 25 - 4 times 4 times 1 = 9 \  sqrt{d}  = 3 \

x_{1} =  frac{ - 5 + 3}{2} =  - 1  \ x_{2} =  frac{ - 5 - 3}{2}  =  - 4

Вас заинтересует