Ответы
Ответ дал:
0
Ответ:
13/(x + 6)²
Пошаговое объяснение:
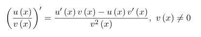
Считаем по правилу дифференцирования
Приложения:

Вас заинтересует
2 года назад
3 года назад
8 лет назад
9 лет назад
9 лет назад