• Предмет: Биология
  • Автор: suckmyblood
  • Вопрос задан 8 лет назад

Задача по биологии:
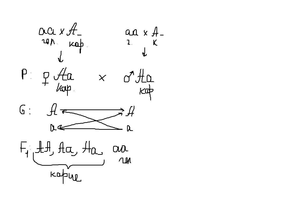
У человека карие глаза доминирует над голубыми. Отец и мать кареглазые, обе бабушки голубоглазые. В семье четверо детей. Каковы фенотипы и генотипы у детей?
Срочно, на завтра надо.

Ответы

Ответ дал: fatyatigra
0

Ответ: АА, Аа, Аа- кареглазые, аа- голубоглазый

Объяснение:А- доминантный ген, а- рецессивный. Генотип бабушек аа, т.к они голубоглазые, а значит, имеют рецессивный ген. Следовательно, их сын и дочь гетерозиготы (Аа) и тогда получаем:

Аа*Аа

и получается поколение: АА-кареглазый, Аа-кареглазый, Аа-кареглазый и аа-голубоглазый

Приложения:
Вас заинтересует