• Предмет: Математика
  • Автор: cvinka1907
  • Вопрос задан 8 лет назад

решите плиззз пожалуйста​

Приложения:

Ответы

Ответ дал: Тетя0Мотя
0

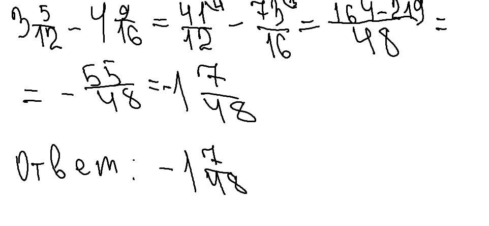
Решение в приложении

Приложения:
Вас заинтересует